基本信息:
中文名称 2-溴乙基磺酸钠
中文别名 2-溴乙烷磺酸钠盐;2-溴基乙烷磺酸钠;溴乙基磺酸钠;2-溴乙烷磺酸钠;
英文名称 Sodium 2-bromoethanesulphonate
英文别名 2-Bromoethanesulfonic Acid Sodium Salt;2-BROMOETHANESULFONIC ACID;sodium salt of 2-bromoethanesulfonic acid;Sodium 2-Bromoethanesulfonate;SodiuM BroMoethylsulfonate;2-Bromoethanesulfonic sodium salt (SBES);2-Bromoethanesulfonic sodium salt;2-Bromoethanesulfoni;2-bromoethane sulfonate sodium salt;Bromoethanesulfonicacidsodiumsalt;Sodium2-bromoethanesulfonate;2-Bromoethanesulfonicacid,Sodium;2-Bromoethanesulfonic acid,sodium salt;2-bromoethanesulfonic acid sodium salt;2-Bromoethanesulfonic;SodiumBromoEthaneSulphonate;
CAS号 4263-52-9
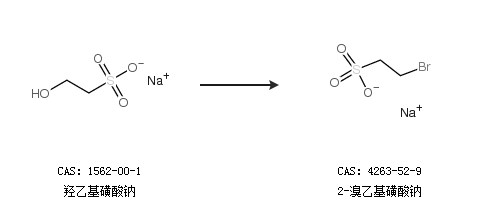
合成路线:
1.通过二溴乙烷合成2-溴乙基磺酸钠,收率约56%;

2.通过羟乙基磺酸钠合成2-溴乙基磺酸钠

中华试剂网提醒:合成路线仅供参考