你好,欢迎来到中华试剂网 购试剂 买耗材! [请登录][注册有惊喜]

货号快速下单 | 签到送积分   | 会员中心 | 客服热线:400-021-2765

2-溴-5-硝基甲苯的合成路线

提问时间:2021/4/25 10:26:59
2-溴-5-硝基甲苯是什么,有什么方法可以合成?

1条回复:

匿名
2021/4/25 10:26:59
基本信息:
中文名称 2-溴-5-硝基甲苯
中文别名 5-溴-2-硝基甲苯;2-溴-5-硝甲苯;3-甲基-4-溴硝基苯;
英文名称 2-Bromo-5-nitrotoluene
英文别名 1-bromo-2-methyl-4-nitrobenzene;
CAS号 7149-70-4

合成路线:
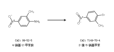
1.通过4-硝基-2-甲苯胺合成2-溴-5-硝基甲苯


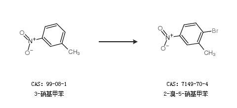
2.通过3-硝基甲苯合成2-溴-5-硝基甲苯


中华试剂网提醒:合成路线仅供参考
回复