你好,欢迎来到中华试剂网 购试剂 买耗材! [请登录][注册有惊喜]

货号快速下单 | 签到送积分   | 会员中心 | 客服热线:400-021-2765

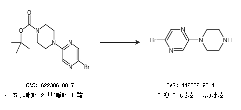
2-溴-5-(哌嗪-1-基)吡嗪的合成路线

提问时间:2021/4/25 10:26:59
2-溴-5-(哌嗪-1-基)吡嗪是什么,有什么方法可以合成?

1条回复:

匿名
2021/4/25 10:26:59
基本信息:
中文名称 2-溴-5-(哌嗪-1-基)吡嗪
英文名称 2-bromo-5-piperazin-1-ylpyrazine
CAS号 446286-90-4

合成路线:
1.通过4-(5-溴吡嗪-2-基)哌嗪-1-羧酸叔丁酯合成2-溴-5-(哌嗪-1-基)吡嗪


2.通过1-(2-吡嗪基)哌啶合成2-溴-5-(哌嗪-1-基)吡嗪


中华试剂网提醒:合成路线仅供参考
回复