基本信息:
中文名称 2-溴-4,6-二氟苯胺
中文别名 2-溴-4,6-二氟苯;2,4-二氟-6-溴苯胺;
英文名称 2-Bromo-4,6-difluoroaniline
英文别名 6-bromo-2,4-difluoroaniline;2-bromo-4,6-difluoro-aniline;2-bromo-4,6-difluorophenylamine;2-Bromo-4,6-difluorobenzenamine;2-BroMo-4,6-difluoroaniline;2,4-difluoro-6-bromoaniline;6-bromo-2,4-fluoroaniline;
CAS号 444-14-4
合成路线:
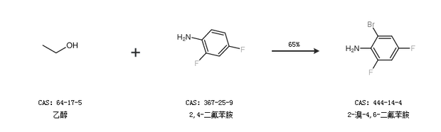
1.通过乙醇和2,4-二氟苯胺合成2-溴-4,6-二氟苯胺,收率约65%;

2.通过2,4-二氟苯胺合成2-溴-4,6-二氟苯胺

中华试剂网提醒:合成路线仅供参考