基本信息:
中文名称 2-三氟甲基喹啉-4-羧酸
中文别名 2-(三氟甲基)喹啉-4-羧酸;
英文名称 2-(trifluoromethyl)quinoline-4-carboxylic acid
英文别名 2-trifluoromethyl cinchoninic acid;CC-PMLSC-DMA-P114;2-trifluoromethyl-4-quinoline carboxylic acid;2-trifluoromethyl-quinoline-4-carboxylic acid;2-Trifluormethyl-chinolyl-(4)-carbonsaeure;
CAS号 18706-39-3
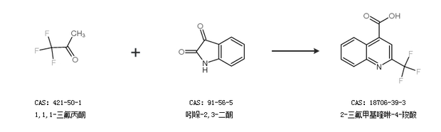
合成路线:
1.通过二氧化碳和4-溴-2-三氟甲基喹啉合成2-三氟甲基喹啉-4-羧酸,收率约74%;

2.通过1,1,1-三氟丙酮和吲哚-2,3-二酮合成2-三氟甲基喹啉-4-羧酸

中华试剂网提醒:合成路线仅供参考