你好,欢迎来到中华试剂网 购试剂 买耗材! [请登录][注册有惊喜]

货号快速下单 | 签到送积分   | 会员中心 | 客服热线:400-021-2765

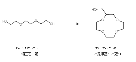
2-羟甲基-12-冠-4的合成路线

提问时间:2021/4/25 10:26:59
2-羟甲基-12-冠-4是什么,有什么方法可以合成?

1条回复:

匿名
2021/4/25 10:26:59
基本信息:
中文名称 2-羟甲基-12-冠-4
中文别名 2-羟基甲基-12-冠醚-4;2-(羟甲基)-12-冠4-醚;
英文名称 2-(Hydroxymethyl)-12-crown 4-Ether
英文别名 1,4,7,10-tetraoxacyclododec-2-ylmethanol;
CAS号 75507-26-5

合成路线:
1.通过二缩三乙二醇合成2-羟甲基-12-冠-4


2.通过1,2-二(2-氯乙氧基)乙烷合成2-羟甲基-12-冠-4


中华试剂网提醒:合成路线仅供参考
回复