基本信息:
中文名称 2-氯代-4''-氟苯乙酮
中文别名 α-氯-4''-氟苯乙酮;2-氯-4''-氟乙酰苯;α-氯-4-氟乙酰苯;2-氯-4''-氟苯乙酮;2-氯-4’-氟苯乙酮;2-氯代-4-氟苯乙酮;
英文名称 2-Chloro-4''-fluoroacetophenone
英文别名 4-Fluorchloracetophenone;2-Chloro-4''-fluoroac;2-Chloro-4′-fluoroacetophenone;A-CHLORO-4-FLUOROACETOPHENONE;2-Chloro-1-(4-fluorophenyl)ethanone;2-chloro-4''-fluoro-acetophenone;2-Chloro-4‘-fluoroacetophenone;Fluorophenacylchloride;
CAS号 456-04-2
合成路线:
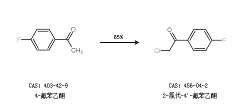
1.通过4-氟苯乙酮合成2-氯代-4''-氟苯乙酮,收率约65%;

2.通过氟苯和一氯代乙酰氯合成2-氯代-4''-氟苯乙酮,收率约82%;

中华试剂网提醒:合成路线仅供参考