基本信息:
中文名称 2-氯-n-(2-苯基乙基)-4-嘧啶胺
英文名称 2-chloro-N-(2-phenylethyl)pyrimidin-4-amine
英文别名 N-phenethyl-2-chloropyrimidin-4-amine;2-chloro-N-phenethylpyrimidin-4-amine;
CAS号 32016-20-9
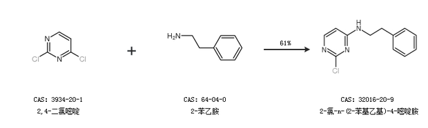
合成路线:
1.通过2,4-二氯嘧啶和2-苯乙胺合成2-氯-n-(2-苯基乙基)-4-嘧啶胺,收率约61%;

中华试剂网提醒:合成路线仅供参考