基本信息:
中文名称 2-氯-9-(1-甲基乙基)-N-[4-(4,4,5,5-四甲基-1,3,2-二噁硼烷-2-基)苯基]-9H-嘌呤-6-胺
英文名称 2-chloro-9-propan-2-yl-N-[4-(4,4,5,5-tetramethyl-1,3,2-dioxaborolan-2-yl)phenyl]purin-6-amine
英文别名 2-chloro-6-[4-(tetramethyldioxaborolanyl)phenylamino]-9-iso-propylpurine;2-Chloro-9-isopropyl-N-(4-(4,4,5,5-tetramethyl-1,3,2-dioxaborolan-2-yl)phenyl)-9H-purin-6-amine;
CAS号 1056016-74-0
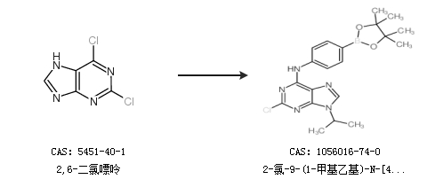
合成路线:
1.通过2,6-二氯-9-异丙基-9h-嘌呤和4-氨基苯硼酸频哪醇酯合成2-氯-9-(1-甲基乙基)-N-[4-(4,4,5,5-四甲基-1,3,2-二噁硼烷-2-基)苯基]-9H-嘌呤-6-胺,收率约59%;

2.通过2,6-二氯嘌呤合成2-氯-9-(1-甲基乙基)-N-[4-(4,4,5,5-四甲基-1,3,2-二噁硼烷-2-基)苯基]-9H-嘌呤-6-胺

中华试剂网提醒:合成路线仅供参考