你好,欢迎来到中华试剂网 购试剂 买耗材! [请登录][注册有惊喜]

货号快速下单 | 签到送积分   | 会员中心 | 客服热线:400-021-2765

2-氯-8-硝基喹啉的合成路线

提问时间:2021/4/25 10:26:59
2-氯-8-硝基喹啉是什么,有什么方法可以合成?

1条回复:

匿名
2021/4/25 10:26:59
基本信息:
中文名称 2-氯-8-硝基喹啉
英文名称 2-Chloro-8-nitroquinoline
英文别名 2-chloro-8-nitroquinoline;
CAS号 4225-86-9

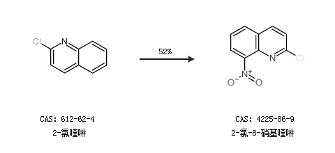
合成路线:
1.通过2-氯喹啉合成2-氯-8-硝基喹啉,收率约63%;


2.通过2-氯喹啉合成2-氯-8-硝基喹啉,收率约52%;


中华试剂网提醒:合成路线仅供参考
回复