基本信息:
中文名称 2-氯-5-硝基-1,4-苯二胺
中文别名 2-氯-5-硝基-1,4-亚苯基二胺;
英文名称 2-chloro-5-nitrobenzene-1,4-diamine
英文别名 2-chloro-4-amino-5-nitroaniline;2-nitro-5-chloroparaphenylenediamine;1,4-Benzenediamine,2-chloro-5-nitro;1,4-Diamino-2-chloro-5-nitrobenzene;5-chloro-2-nitro-1,4-phenylenediamine;2-chloro-5-nitro-1,4-benzenediamine;2-Chloro-5-nitro-1,4-phenylenediamine;1-amino-2-nitro-5-chloro-4-aminobenzene;1,4-diamino-5-chloro-2-nitrobenzene;4-amino-3-nitro-6-chloroaniline;2,5-Diamino-4-chloronitrobenzene;EINECS 247-515-9;
CAS号 26196-45-2
合成路线:
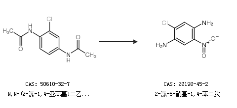
1.通过N,N-(2-氯-1,4-亚苯基)二乙酰胺合成2-氯-5-硝基-1,4-苯二胺

中华试剂网提醒:合成路线仅供参考