基本信息:
中文名称 2-氯-4,6-二甲基-5-硝基烟腈
英文名称 2-chloro-4,6-dimethyl-5-nitropyridine-3-carbonitrile
英文别名 2-Chloro-4,6-dimethyl-5-nitro-nicotinonitrile;2-chloro-5-nitro-3-cyano-4,6-dimethylpyridine;2,4-dimethyl-3-nitro-5-cyano-6-chloropyridine;2-chloro-3-cyano-4,6-dimethyl-5-nitropyridine;2-Chlor-3-cyan-4,6-dimethyl-5-nitro-pyridin;BB_SC-0330;2-Chlor-4,6-dimethyl-5-nitro-nicotinonitril;6-Chlor-5-cyano-2,4-dimethyl-3-nitro-pyridin;
CAS号 6220-77-5
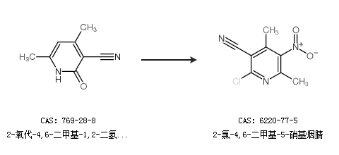
合成路线:
1.通过2-氧代-4,6-二甲基-1,2-二氢吡啶-3-甲腈合成2-氯-4,6-二甲基-5-硝基烟腈

2.通过乙酰丙酮合成2-氯-4,6-二甲基-5-硝基烟腈

中华试剂网提醒:合成路线仅供参考