基本信息:
中文名称 2-氯-3-(吡咯烷-1-基羰基)吡啶
英文名称 (2-chloropyridin-3-yl)-pyrrolidin-1-ylmethanone
英文别名 2-chloro-3-(pyrrolidin-1-ylcarbonyl)pyridine;2-chloro-3-(1-pyrrolidinylcarbonyl)pyridine;1-(2-chloro-nicotinoyl)-pyrrolidine;2-chloro-3-(pyrrolidine-1-carbonyl)pyridine;
CAS号 60597-68-4
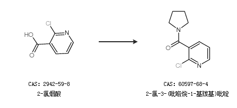
合成路线:
1.通过2-氯烟酸合成2-氯-3-(吡咯烷-1-基羰基)吡啶

2.通过四氢吡咯和2-氯烟酰氯合成2-氯-3-(吡咯烷-1-基羰基)吡啶

中华试剂网提醒:合成路线仅供参考