基本信息:
中文名称 2-氯-1,4-二硝基苯
英文名称 2-Chloro-1,4-dinitrobenzene
英文别名 1-Chloro-2,5-dinitrobenzene;2-Chlor-1,4-dinitro-benzol;Benzene,2-chloro-1,4-dinitro;2-chloro-1,4-dinitro-benzene;2,5-dinitrochlorobenzene;
CAS号 619-16-9
合成路线:
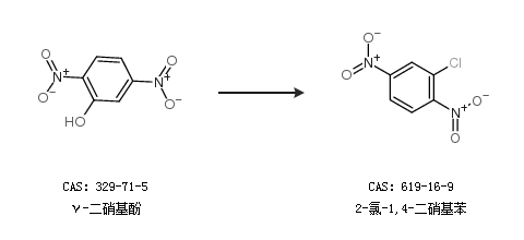
1.通过γ-二硝基酚合成2-氯-1,4-二硝基苯

2.通过硝酸合成2-氯-1,4-二硝基苯

中华试剂网提醒:合成路线仅供参考