基本信息:
中文名称 2-氯-1,3-噻唑-5-羰酰氯
中文别名 2-氯噻唑-5-甲酰氯;
英文名称 2-chloro-1,3-thiazole-5-carbonyl chloride
英文别名 5-Thiazolecarbonylchloride,2-chloro;5-chlorothiazole-5-carbonyl chloride;2-Chlorothiazole-5-carbonylchloride;
CAS号 148637-74-5
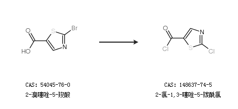
合成路线:
1.通过2-氯-噻唑-5-甲酸合成2-氯-1,3-噻唑-5-羰酰氯,收率约98%;

2.通过2-溴噻唑-5-羧酸合成2-氯-1,3-噻唑-5-羰酰氯

中华试剂网提醒:合成路线仅供参考