基本信息:
中文名称 2-甲基-3-呋喃甲醇
中文别名 (2-甲基-3-呋喃基)甲醇;2-甲基-3-(羟甲基)呋喃;
英文名称 (2-methylfuran-3-yl)methanol
英文别名 3-Furanmethanol,2-methyl;2-Methyl-3-furanmethanol;
CAS号 5554-99-4
合成路线:
1.通过2-甲基-3-呋喃羧酸乙酯合成2-甲基-3-呋喃甲醇,收率约99%;

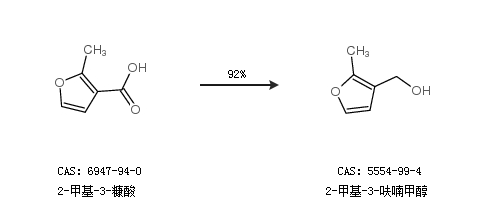
2.通过2-甲基-3-糠酸合成2-甲基-3-呋喃甲醇,收率约92%;

中华试剂网提醒:合成路线仅供参考