基本信息:
中文名称 2-己烯酸甲酯
英文名称 Methyl 2-hexenoate
英文别名 FEMA 2709;METHYL T2 HEXENOATE;Hex-2-ensaeure-methylester;2-Hexenoic Acid Methyl Ester;hex-2-enoic acid methyl ester;2-Hexenoic acid methyl;METHYL TRANS-2-HEXENOATE;methyl hex-2-enoate;
CAS号 2396-77-2
合成路线:
1.通过甲醇和1-戊炔合成2-己烯酸甲酯,收率约65%;

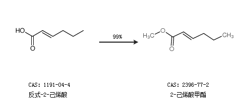
2.通过反式-2-己烯酸合成2-己烯酸甲酯,收率约99%;

中华试剂网提醒:合成路线仅供参考