基本信息:
中文名称 2-氟乙酰乙酸乙酯
中文别名 2-氟乙酰羧酸乙酯;2-氟-3-酮基丁酸乙酯;
英文名称 ETHYL 2-FLUOROACETOACETATE
英文别名 2-Fluoroacetoacetic Acid Ethyl Ester;Ethyl 2-fluoroacetoacetate;ethyl 2-fluoro-3-oxobutanoate;
CAS号 1522-41-4
合成路线:
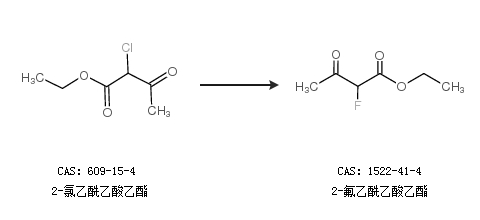
1.通过2-氯乙酰乙酸乙酯合成2-氟乙酰乙酸乙酯

2.通过乙醇合成2-氟乙酰乙酸乙酯

中华试剂网提醒:合成路线仅供参考