基本信息:
中文名称 2-碘-9h-芴-9-酮
英文名称 2-iodofluoren-9-one
英文别名 2-iodo-9h-fluoren-9-one;2-iodo-fluoren-9-one;2-Jod-fluoren-9-on;2-iodofluorenone;9H-Fluoren-9-one,2-iodo;2-Iodfluorenon;
CAS号 3096-46-6
合成路线:
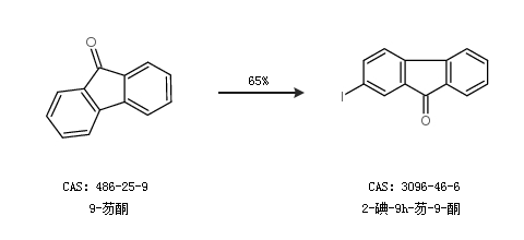
1.通过9-芴酮合成2-碘-9h-芴-9-酮,收率约65%;

2.通过2-碘芴合成2-碘-9h-芴-9-酮,收率约79%;

中华试剂网提醒:合成路线仅供参考