基本信息:
中文名称 2-碘-6-氯嘌呤
中文别名 6-氯-2-碘嘌呤;
英文名称 2-Iodo-6-chloropurine
英文别名 6-chloro-2-iodo-7H-purine;6-Chloro-2-iodo-1H-purine;6-Chloro-2-iodopurine;2-iodo-6-chloro-9H-purine;9H-6-chloro-2-iodopurine;
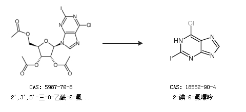
CAS号 18552-90-4
合成路线:
1.通过2'',3'',5''-三-O-乙酰-6-氯-2-碘嘌呤核苷合成2-碘-6-氯嘌呤

2.通过2-氨基-6-氯嘌呤合成2-碘-6-氯嘌呤

中华试剂网提醒:合成路线仅供参考