基本信息:
中文名称 2-碘-5-硝基吡啶
英文名称 2-iodo-5-nitropyridine
英文别名 2-iodo-5-nitro-pyridine;2-Iod-5-nitropyridin;6-Iodo-3-nitropyridine;2-Jod-5-nitropyridin;5-nitro-2-iodopyridine;
CAS号 28080-54-8
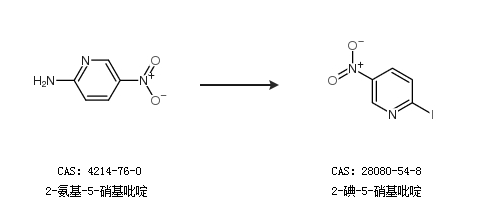
合成路线:
1.通过2-氯-5-硝基吡啶合成2-碘-5-硝基吡啶,收率约74%;

2.通过2-氨基-5-硝基吡啶合成2-碘-5-硝基吡啶

中华试剂网提醒:合成路线仅供参考