你好,欢迎来到中华试剂网 购试剂 买耗材! [请登录][注册有惊喜]

货号快速下单 | 签到送积分   | 会员中心 | 客服热线:400-021-2765

2-吡啶-4-基乙酰肼的合成路线

提问时间:2021/4/25 10:26:58
2-吡啶-4-基乙酰肼是什么,有什么方法可以合成?

1条回复:

匿名
2021/4/25 10:26:58
基本信息:
中文名称 2-吡啶-4-基乙酰肼
中文别名 2-吡啶-4-乙酰肼;
英文名称 2-(Pyridin-4-yl)acetohydrazide
英文别名 2-Pyridin-4-ylacetohydrazide;
CAS号 69583-00-2

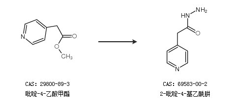
合成路线:
1.通过4-吡啶乙酸乙酯合成2-吡啶-4-基乙酰肼,收率约99%;


2.通过吡啶-4-乙酸甲酯合成2-吡啶-4-基乙酰肼


中华试剂网提醒:合成路线仅供参考
回复