基本信息:
中文名称 2-苯氧基烟酸
英文名称 2-phenoxypyridine-3-carboxylic acid
英文别名 EINECS 252-647-5;2-Phenoxy-3-pyridinecarboxylic acid;3-Pyridinecarboxylic acid,2-phenoxy;2-PHENOXYNICOTINIC ACID;2-Phenoxy-nicotinsaeure;2-phenoxy-nicotinic acid;
CAS号 35620-71-4
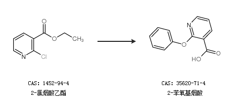
合成路线:
1.通过2-氯烟酸和苯酚合成2-苯氧基烟酸

2.通过2-氯烟酸乙酯合成2-苯氧基烟酸

中华试剂网提醒:合成路线仅供参考