基本信息:
中文名称 2-苯基-5-氨基噻唑-4-羧酸乙酯
英文名称 Ethyl 5-amino-2-phenyl-1,3-thiazole-4-carboxylate
英文别名 4-Thiazolecarboxylic acid,5-amino-2-phenyl-,ethyl ester;ethyl 5-amino-2-phenylthiazole-4-carboxylae;ETHYL 5-AMINO-2-PHENYLTHIAZOLE-4-CARBOXYLATE;ethyl 2-phenyl-5-aminothiazole-4-carboxylate;5-amino-2-phenylthiazole-4-carboxylic acid ethyl ester;2-phenyl-4-(ethoxycarbonyl)-5-aminothiazole;
CAS号 31785-06-5
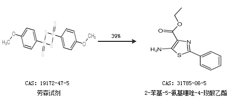
合成路线:
1.通过劳森试剂合成2-苯基-5-氨基噻唑-4-羧酸乙酯,收率约39%;

2.通过2-氨基-2-氰基乙酸乙酯合成2-苯基-5-氨基噻唑-4-羧酸乙酯

中华试剂网提醒:合成路线仅供参考