基本信息:
中文名称 2-氨基-5-羟基戊酸
中文别名 5-羟基-DL-缬氨酸;
英文名称 2-amino-5-hydroxypentanoic acid
英文别名 5-Hydroxy-DL-norvalin;5-hydroxynorvaline;Norvaline,5-hydroxy;4-Oxy-1-amino-butan-carbonsaeure-(1);(+-)-2-amino-5-hydroxy-valeric acid;HYDROXYVALINE;2-Amino-5-hydroxy-valeriansaeure;Pentahomoserine;
CAS号 533-88-0
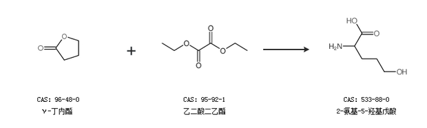
合成路线:
1.通过1,3-二溴丙烷合成2-氨基-5-羟基戊酸

2.通过γ-丁内酯和乙二酸二乙酯合成2-氨基-5-羟基戊酸

中华试剂网提醒:合成路线仅供参考