基本信息:
中文名称 2-[[[3-甲基-4-(2,2,2三氟乙氧基)-2-吡啶]-甲基]硫基]-1H-苯并咪唑
中文别名 兰索拉唑中间体;2-3-甲基-4-(2,2,2-三氟乙氧基)-2-吡啶甲基硫基-1H-苯并咪唑;兰索拉唑硫醚;2-[-[(3-甲基-4-(2,2,2-三氟乙氧基)-2-吡啶基)甲基]巯基]苯并咪唑;右旋兰索拉唑杂质C;南索拉唑杂质B;2-[3-甲基-4-(2,2,2-三氟乙氧基)-2-吡啶]甲基硫基-1H-苯并咪;兰索拉唑EP杂质C;
英文名称 2-(((3-Methyl-4-(2,2,2-trifluoroethoxy)pyridin-2-yl)methyl)thio)-1H-benzo[d]imidazole
英文别名 Lansoprazole Sulfide;
CAS号 103577-40-8
合成路线:
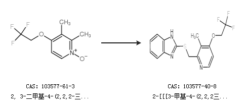
1.通过2, 3-二甲基-4-(2,2,2-三氟乙氧基)吡啶-N-氧化物合成2-[[[3-甲基-4-(2,2,2三氟乙氧基)-2-吡啶]-甲基]硫基]-1H-苯并咪唑

2.通过2,3-二甲基-4-硝基吡啶-N-氧化物合成2-[[[3-甲基-4-(2,2,2三氟乙氧基)-2-吡啶]-甲基]硫基]-1H-苯并咪唑

中华试剂网提醒:合成路线仅供参考