基本信息:
中文名称 2,7-二氨基萘
中文别名 2,7-萘二胺;
英文名称 naphthalene-2,7-diamine
英文别名 2,7-NAPHTHALENEDIAMINE;2,7-Diaminonaphthalene;2,7-Naphthylenediamine;2,7-Napthalenediamine;EINECS 210-353-4;Naphthalin-2,7-diyldiamin;naphthalene-2,7-diyldiamine;2.7-Diamino-naphthalin;Naphthylendiamin-(2.7);
CAS号 613-76-3
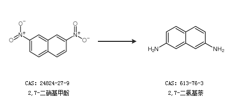
合成路线:
1.通过2,7-二羟基萘合成2,7-二氨基萘,收率约92%;

2.通过2,7-二硝基甲酚合成2,7-二氨基萘

中华试剂网提醒:合成路线仅供参考