基本信息:
中文名称 2,6-二溴-4-[1-(3-溴-4-羟苯基)-1-甲基乙基]苯酚
英文名称 3,3'',5-tribromobisphenol A
英文别名 2,6-dibromo-4-[2-(3-bromo-4-hydroxyphenyl)propan-2-yl]phenol;3,3'',5-Tribromobisphenol A;Tribromobisphenol A;3,5,5''-tribromobisphenol A;
CAS号 6386-73-8
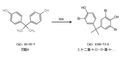
合成路线:
1.通过双酚A合成2,6-二溴-4-[1-(3-溴-4-羟苯基)-1-甲基乙基]苯酚,收率约56%;

中华试剂网提醒:合成路线仅供参考