你好,欢迎来到中华试剂网 购试剂 买耗材! [请登录][注册有惊喜]

货号快速下单 | 签到送积分   | 会员中心 | 客服热线:400-021-2765

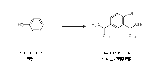
2,4-二异丙基苯酚的合成路线

提问时间:2021/4/25 10:26:57
2,4-二异丙基苯酚是什么,有什么方法可以合成?

1条回复:

匿名
2021/4/25 10:26:57
基本信息:
中文名称 2,4-二异丙基苯酚
中文别名 2,4-双异丙基苯酚;
英文名称 2,4-Diisopropylphenol
英文别名 2,4-di(propan-2-yl)phenol;
CAS号 2934-05-6

合成路线:
1.通过3,5-二异丙基水杨酸合成2,4-二异丙基苯酚,收率约99%;


2.通过苯酚合成2,4-二异丙基苯酚


中华试剂网提醒:合成路线仅供参考
回复