基本信息:
中文名称 2,4-二溴-6-(羟基甲基)苯酚
英文名称 2,4-DIBROMO-6-(HYDROXYMETHYL)PHENOL
英文别名 benzenemethanol,3,5-dibromo-2-hydroxy;2-hydroxy-3,5-dibromobenzyl alcohol;3,5-dibromo-2-hydroxy-benzyl alcohol;2-hydroxy-3,5-dibromobenzenemethanol;3,5-Dibrom-2-hydroxybenzylalkohol;
CAS号 2183-54-2
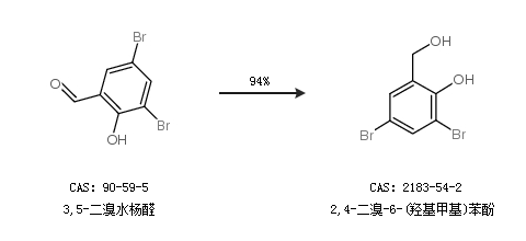
合成路线:
1.通过3,5-二溴水杨醛合成2,4-二溴-6-(羟基甲基)苯酚,收率约94%;

2.通过甲醛和2,4-二溴苯酚合成2,4-二溴-6-(羟基甲基)苯酚

中华试剂网提醒:合成路线仅供参考