你好,欢迎来到中华试剂网 购试剂 买耗材! [请登录][注册有惊喜]

货号快速下单 | 签到送积分   | 会员中心 | 客服热线:400-021-2765

2,4-二硝基间苯二酚的合成路线

提问时间:2021/4/25 10:26:57
2,4-二硝基间苯二酚是什么,有什么方法可以合成?

1条回复:

匿名
2021/4/25 10:26:57
基本信息:
中文名称 2,4-二硝基间苯二酚
中文别名 2,4-二硝基间苯二酚;
英文名称 2,4-Dinitroresorcinol
英文别名 2,4-DIAMINOTOLUENE-Α,Α,Α-D3;2,4-Dinitrobenzene-1,3-diol;
CAS号 519-44-8

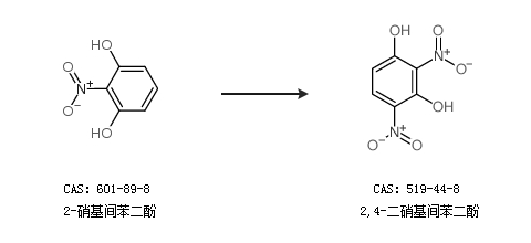
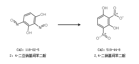
合成路线:
1.通过2,4-二亚硝基间苯二酚合成2,4-二硝基间苯二酚


2.通过2-硝基间苯二酚合成2,4-二硝基间苯二酚


中华试剂网提醒:合成路线仅供参考
回复