基本信息:
中文名称 2,4-二氯-6-甲氧基嘧啶
英文名称 2,4-Dichloro-6-methoxypyrimidine
英文别名 2,4-dichloro-6-methoxy-pyrimidine;2.6-Dichloro-4-methoxypyrimidin;2,4-Dichlor-6-methoxy-pyrimidin;QC-5504;2,6-dichloro-4-methoxypyrimidine;6-methoxy-2,4-dichloropyrimidine;
CAS号 43212-41-5
合成路线:
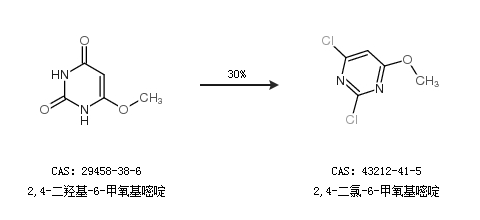
1.通过2,4-二羟基-6-甲氧基嘧啶合成2,4-二氯-6-甲氧基嘧啶,收率约30%;

2.通过2,4,6-三氯嘧啶合成2,4-二氯-6-甲氧基嘧啶

中华试剂网提醒:合成路线仅供参考