基本信息:
中文名称 2,4-二氨基-5-乙氧基喹唑啉
英文名称 5-ethoxyquinazoline-2,4-diamine
英文别名 5-ethoxy-2,4-diaminoquinazoline;5-Ethoxy-2,4-quinazolinediamine;2,4-diamino-5-ethoxyquinazoline;2,4-Quinazolinediamine,5-ethoxy;PY 365;
CAS号 119584-81-5
合成路线:
1.通过2-乙氧基-6-氟苯腈合成2,4-二氨基-5-乙氧基喹唑啉,收率约74%;

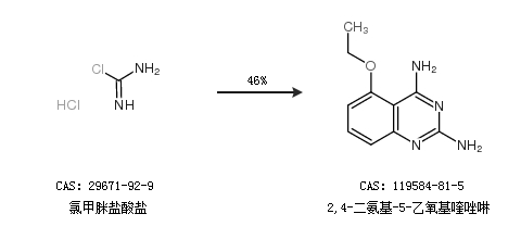
2.通过氯甲脒盐酸盐合成2,4-二氨基-5-乙氧基喹唑啉,收率约46%;

中华试剂网提醒:合成路线仅供参考