基本信息:
中文名称 2,3-二氯-5-硝基-1,4-萘醌
英文名称 2,3-dichloro-5-nitronaphthalene-1,4-dione
英文别名 5-nitro-2,3-dichloronaphtho-1,4-quinone;2,3-Dichloro-5-nitro-1,4-naphthoquinone;2,3-dichloro-1,4-dihydro-1,4-dioxo-5-nitronaphthalene;2,3-DICHLORO-5-NITRO-1,4-NAPHTHOQUINONE;2,3-DICHLORO-5-NITRO-(1,4)NAPHTHOQUINONE;2,3-dichloro-5-nitro-1,4-naphthalenedione;
CAS号 22360-86-7
合成路线:
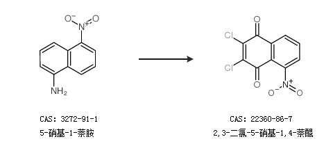
1.通过5-硝基-1-萘胺合成2,3-二氯-5-硝基-1,4-萘醌

2.通过乙酸合成2,3-二氯-5-硝基-1,4-萘醌

中华试剂网提醒:合成路线仅供参考