基本信息:
中文名称 2,3-二甲基喹喔啉
中文别名 2,3-二甲基喹戊啉;
英文名称 2,3-DIMETHYLQUINOXALINE
英文别名 QUINOXALINE,2,3-DIMETHYL;2,3-Dimethyl-quinoxaline;EINECS 219-162-0;2,3-Dimethyl-chinoxalin;2,3-DiMethylquinoxaline;Quinoxaline,3-dimethyl;
CAS号 2379-55-7
合成路线:
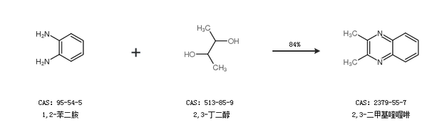
1.通过1,2-苯二胺和2,3-丁二醇合成2,3-二甲基喹喔啉,收率约84%;

2.通过茚满-1,2-二酮和1,2-苯二胺合成2,3-二甲基喹喔啉,收率约91%;

中华试剂网提醒:合成路线仅供参考