基本信息:
中文名称 2,3-二甲基-5-硝基吲哚
英文名称 2,3-dimethyl-5-nitro-1H-indole
英文别名 2,3-DICHLOROPROPIONAMIDE;2,3-Dimethyl-5-nitroindol;5-Nitro-2,3-dimethyl-indol;2,3-DIMETHYL-5-NITROINDOLE;5-Nitro-2,3-dimethylindole;
CAS号 21296-94-6
合成路线:
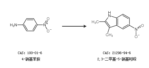
1.通过4-硝基苯胺合成2,3-二甲基-5-硝基吲哚

2.通过2,3-二甲基吲哚合成2,3-二甲基-5-硝基吲哚

中华试剂网提醒:合成路线仅供参考