你好,欢迎来到中华试剂网 购试剂 买耗材! [请登录][注册有惊喜]

货号快速下单 | 签到送积分   | 会员中心 | 客服热线:400-021-2765

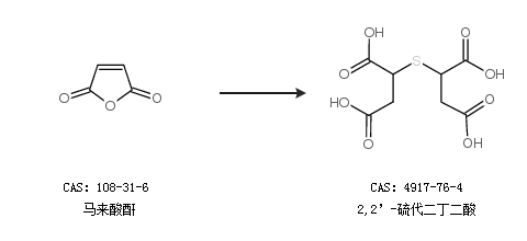
2,2’-硫代二丁二酸的合成路线

提问时间:2021/4/25 10:26:56
2,2’-硫代二丁二酸是什么,有什么方法可以合成?

1条回复:

匿名
2021/4/25 10:26:56
基本信息:
中文名称 2,2’-硫代二丁二酸
中文别名 硫代丁二酸;硫代丁二酸;硫代琥珀酸;2,2''-硫代二丁二酸;2,2`-硫代二丁二酸;
英文名称 Thiodisuccinic Acid
英文别名 2-(1,2-dicarboxyethylsulfanyl)butanedioic acid;
CAS号 4917-76-4

合成路线:
1.通过硫代苹果酸和顺丁烯二酸合成2,2’-硫代二丁二酸


2.通过马来酸酐合成2,2’-硫代二丁二酸


中华试剂网提醒:合成路线仅供参考
回复