你好,欢迎来到中华试剂网 购试剂 买耗材! [请登录][注册有惊喜]

货号快速下单 | 签到送积分   | 会员中心 | 客服热线:400-021-2765

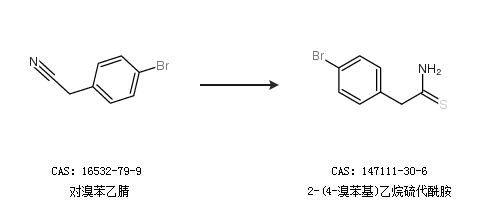
2-(4-溴苯基)乙烷硫代酰胺的合成路线

提问时间:2021/4/25 10:26:56
2-(4-溴苯基)乙烷硫代酰胺是什么,有什么方法可以合成?

1条回复:

匿名
2021/4/25 10:26:56
基本信息:
中文名称 2-(4-溴苯基)乙烷硫代酰胺
英文名称 2-(4-Bromophenyl)thioacetamide
英文别名 2-(4-bromophenyl)ethanethioamide;
CAS号 147111-30-6

合成路线:
1.通过对溴苯乙腈合成2-(4-溴苯基)乙烷硫代酰胺


中华试剂网提醒:合成路线仅供参考
回复