基本信息:
中文名称 2-(4-叔丁基苯基)乙醛酸乙酯
中文别名 4-叔丁基苯甲酰甲酸乙酯;
英文名称 ethyl 2-(4-tert-butylphenyl)-2-oxoacetate
英文别名 Ethyl 4-tert-butylbenzoylformate;p-tert.-Butyl-phenylglyoxylsaeure-ethylester;
CAS号 80120-36-1
合成路线:
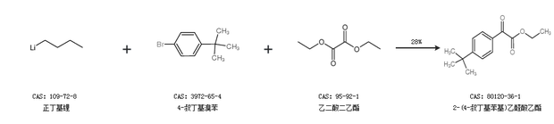
1.通过正丁基锂、4-叔丁基溴苯和乙二酸二乙酯合成2-(4-叔丁基苯基)乙醛酸乙酯,收率约28%;

2.通过草酰氯单乙酯合成2-(4-叔丁基苯基)乙醛酸乙酯,收率约95%;

中华试剂网提醒:合成路线仅供参考