基本信息:
中文名称 2-(4-氯苯氧基)丙酸
英文名称 4-CPP
英文别名 2-(p-Chlorophenoxy)propanoic acid;o-(4-chlorphenyl)milchsaure;2-(2-FLUOROPHENYL)-5-(METHOXYCARBONYL)-1,5-DIMETHYL-3-PYRROLIDINECARBOXYLIC ACID;rac-(2R)-2-(4-chlorophenoxy)propanoic acid;2-(P-CHLOROPHENOXY)PROPIONIC ACID;DL-2-(4-chlorophenoxy)propionic acid;(RS)-2-(4-chlorophenoxy)propionic acid;2-(4-chlorophenoxy)-propionic acid;2-(4-chlorophenoxy)propanoic acid;2-(4-CHLOROPHENOXY) PROPIONIC ACID;2-(4-CHLOROPHENOXY)PROPANOIC ACID;
CAS号 3307-39-9
合成路线:
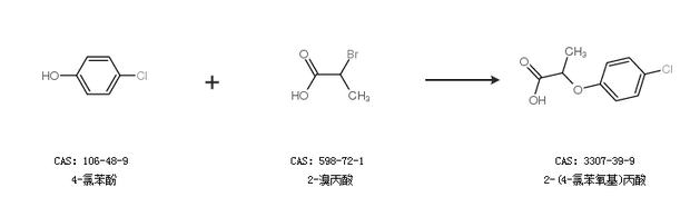
1.通过4-氯苯酚和2-溴丙酸合成2-(4-氯苯氧基)丙酸

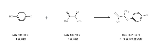
2.通过4-氯苯酚和2-氯丙酸合成2-(4-氯苯氧基)丙酸

中华试剂网提醒:合成路线仅供参考