基本信息:
中文名称 2-(4-氟苯)-N-甲基乙胺
中文别名 2-(4-氟苯基)-N-甲基乙胺;
英文名称 2-(4-fluorophenyl)-N-methylethanamine
英文别名 N-methyl-N-[2-(4-fluoro-phenyl)-ethyl]-amine;4-Fluoro-N-methyl-benzeneethanamine;[2-(4-Fluorophenyl)ethyl]-methylamine;N-[2-(4-Fluorophenyl)ethyl]-N-methylamine;N-methyl-4-fluorophenethylamine;4-fluoro-N-methylphenethylamine;(4-Fluor-phenaethyl)-methyl-amin;(4-fluoro-phenethyl)-methyl-amine;
CAS号 459-28-9
合成路线:
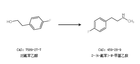
1.通过对氟苯乙醇合成2-(4-氟苯)-N-甲基乙胺

2.通过4-氟苯基溴化镁合成2-(4-氟苯)-N-甲基乙胺

中华试剂网提醒:合成路线仅供参考