基本信息:
中文名称 2-(1H-吡唑-3-基)苯酚
中文别名 3-(2-羟基苯基)吡唑;
英文名称 2-(Pyrazol-5-yl)phenol
英文别名 3-(2-Hydroxyphenyl)pyrazole;2-(1H-PYRAZOL-3-YL)PHENOL;2-(1H-Pyrazol-3-yl)phenol;
CAS号 34810-67-8
合成路线:
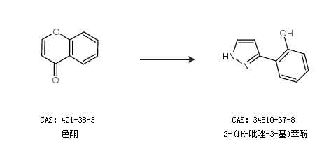
1.通过色酮合成2-(1H-吡唑-3-基)苯酚

2.通过2''-羟基苯乙酮合成2-(1H-吡唑-3-基)苯酚

中华试剂网提醒:合成路线仅供参考