基本信息:
中文名称 1-BOC-5-甲基吲哚-2-硼酸
中文别名 1-BOC-5-甲基-1H-吲哚-2-硼酸;
英文名称 (1-(tert-Butoxycarbonyl)-5-methyl-1H-indol-2-yl)boronic acid
英文别名 1-BOC-5-methylindole-2-boronic acid;
CAS号 475102-14-8
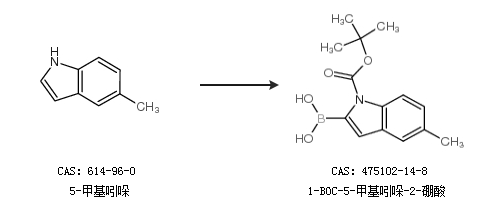
合成路线:
1.通过1-(叔丁氧羰基)-5-甲基吲哚合成1-BOC-5-甲基吲哚-2-硼酸,收率约99%;

2.通过5-甲基吲哚合成1-BOC-5-甲基吲哚-2-硼酸

中华试剂网提醒:合成路线仅供参考