基本信息:
中文名称 1,4-丁二硫醇二乙酸
英文名称 1,4-Bis-acetylsulfanylbutane,Thioacetic acid S-(4-acetylsulfanylbutyl)ester
英文别名 1,4-bis-acetylsulfanyl-butane;1,4-Bis-acetylmercapto-butan;1 4-BUTANEDITHIOL DIACETATE 97;Thioacetic acid S-(4-acetylsulfanylbutyl)ester;
CAS号 6633-90-5
合成路线:
1.通过1,4-二溴丁烷和硫代乙酸合成1,4-丁二硫醇二乙酸,收率约79%;

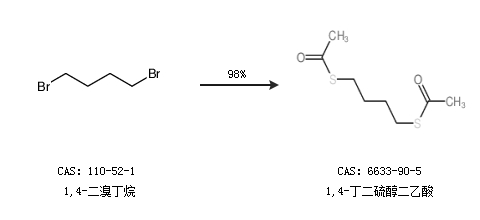
2.通过1,4-二溴丁烷合成1,4-丁二硫醇二乙酸,收率约98%;

中华试剂网提醒:合成路线仅供参考