你好,欢迎来到中华试剂网 购试剂 买耗材! [请登录][注册有惊喜]

货号快速下单 | 签到送积分   | 会员中心 | 客服热线:400-021-2765

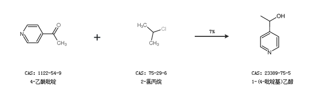
1-(4-吡啶基)乙醇的合成路线

提问时间:2021/4/25 10:26:54
1-(4-吡啶基)乙醇是什么,有什么方法可以合成?

1条回复:

匿名
2021/4/25 10:26:54
基本信息:
中文名称 1-(4-吡啶基)乙醇
英文名称 1-PYRIDIN-4-YL-ETHANOL
英文别名 pyridin-4-ylethanol;
CAS号 23389-75-5

合成路线:
1.通过4-乙酰吡啶合成1-(4-吡啶基)乙醇,收率约10%;


2.通过4-乙酰吡啶和2-氯丙烷合成1-(4-吡啶基)乙醇,收率约7%;


中华试剂网提醒:合成路线仅供参考
回复