基本信息:
中文名称 1-(2,4,6-三羟基苯基)-2-对甲苯乙酮
英文名称 1-(2,4,6-TRIHYDROXYPHENYL)-2-P-TOLYLETHANONE
英文别名 PHLORETIN-4-METHYL ETHER;2'',4'',6''-trihydroxy-4-methoxydihydrochalcone;2,4,6-Trihydroxy-4''-methyl-desoxybenzoin;2,4,6-trihydroxy-4''-methyl-deoxybenzoin;2,4,6-Trihydroxy-phenyl 4-methyl-benzyl-ketone;isosakuranetin dihydrochalcone;
CAS号 59108-68-8
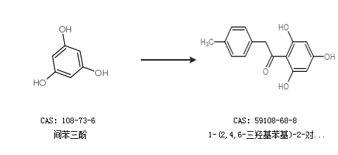
合成路线:
1.通过间苯三酚合成1-(2,4,6-三羟基苯基)-2-对甲苯乙酮

中华试剂网提醒:合成路线仅供参考