你好,欢迎来到中华试剂网 购试剂 买耗材! [请登录][注册有惊喜]

货号快速下单 | 签到送积分   | 会员中心 | 客服热线:400-021-2765

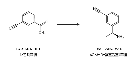
(S)-3-(1-氨基乙基)苯腈的合成路线

提问时间:2021/4/25 10:26:54
(S)-3-(1-氨基乙基)苯腈是什么,有什么方法可以合成?

1条回复:

匿名
2021/4/25 10:26:54
基本信息:
中文名称 (S)-3-(1-氨基乙基)苯腈
中文别名 (S)-3-(1-氨基乙基)苯甲腈盐酸盐;
英文名称 (S)-3-(1-Aminoethyl)benzonitrile
英文别名 3-[(1S)-1-aminoethyl]benzonitrile;
CAS号 127852-22-6

合成路线:
1.通过3-乙酰苯腈合成(S)-3-(1-氨基乙基)苯腈


2.通过1-(3-氰基苯基)乙胺合成(S)-3-(1-氨基乙基)苯腈


中华试剂网提醒:合成路线仅供参考
回复