基本信息:
中文名称 (S)-2-疏基琥珀酸
英文名称 (2S)-2-sulfanylbutanedioic acid
英文别名 (S)-thiomalic acid;(s)-2-mercaptosuccinic acid;(2S)-2-mercaptosuccinic acid;L-mercaptosuccinic acid;(S)-mercaptosuccinic acid;(-)(S)-Mercaptobernsteinsaeure;L-Mercaptobernsteinsaeure;
CAS号 74708-34-2
合成路线:
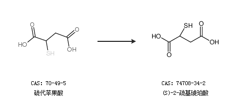
1.通过硫代苹果酸合成(S)-2-疏基琥珀酸

中华试剂网提醒:合成路线仅供参考