基本信息:
中文名称 (S)-(-)-3-苯甲酰巯基-2-甲基丙酸
中文别名 (S)-(-)-3-(苯甲酰基硫代)-2-甲基丙酸;佐芬普利中间体;(s)-3-苯甲酰巯基-2-甲基丙酸;
英文名称 (S)-(-)-3-Benzoylthio-2-methylpropanoic acid
英文别名 (2S)-3-benzoylsulfanyl-2-methylpropanoic acid;
CAS号 72679-02-8
合成路线:
1.通过3-苯甲酰硫基-2-甲基丙酸合成(S)-(-)-3-苯甲酰巯基-2-甲基丙酸

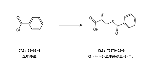
2.通过苯甲酰氯合成(S)-(-)-3-苯甲酰巯基-2-甲基丙酸

中华试剂网提醒:合成路线仅供参考