你好,欢迎来到中华试剂网 购试剂 买耗材! [请登录][注册有惊喜]

货号快速下单 | 签到送积分   | 会员中心 | 客服热线:400-021-2765

(R)-(+)-3-羟基-3-苯丙酸的合成路线

提问时间:2021/4/25 10:26:53
(R)-(+)-3-羟基-3-苯丙酸是什么,有什么方法可以合成?

1条回复:

匿名
2021/4/25 10:26:53
基本信息:
中文名称 (R)-(+)-3-羟基-3-苯丙酸
中文别名 (R)-3-羟基-3-苯丙醇酸;
英文名称 (R)-(+)-3-HYDROXY-3-PHENYLPROPIONIC ACID
英文别名 N778;
CAS号 2768-42-5

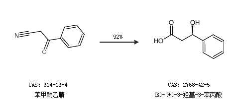
合成路线:
1.通过苯甲酰乙腈合成(R)-(+)-3-羟基-3-苯丙酸,收率约92%;


2.通过(+)-乙基 (R)-3-羟基-3-苯丙酸盐合成(R)-(+)-3-羟基-3-苯丙酸,收率约80%;


中华试剂网提醒:合成路线仅供参考
回复